Rumus Percepatan Dan Perlambatan Beserta Pola Soalnya

Sebelumnya Pak Mono sudah menjelaskan pengertian kecepatan. Kecepatan yaitu perubahan posisi atau perpindahan tiap waktu. Kecepatan ini berafiliasi akrab dengan percepatan. Kalau suatu benda yang mengalami kecepatan yang semakin meningkat maka mempunyai percepatan. Sedangkan benda yang kecepatannya semakin menurun disebut dengan perlambatan.
Untuk hasil perhitungan percepatan nilainya ketemu nyata (+) sedangkan perlambatan hasilnya negatif (-).

Pengertian percepatan
Percepatan yaitu perubahan kecepatan tiap waktu. Ada juga yang menyampaikan percepatan merupakan perubahan kecepatan tiap sekon. Perlu diinga bahwa hasil dari percepatan bernilai POSITIF.
Contoh kejadian benda yang mengalami percepatan dalam kehidupan sehari-hari yaitu …
a. Gerak buah kelapa yang dari pohonnya jatuh ke tanah akan semakin cepat.
b. Gerak sepeda pada jalan menurun akan semakin cepat.
c. Gerak sepeda motor yang kalau di gas kencang gerakannya akan semakin meningkat.

Persamaan percepatan ditulis sebagai berikut :
Sebelumnya Pak Mono sudah menjelaskan pengertian kecepatan Rumus percepatan dan perlambatan beserta pola soalnya

a = percepatan (m/s2)
vt = kecepatan simpulan (m/s)
v0 = kecepatan awal (m/s)
t = waktu (sekon)

Pengertian perlambatan
Perlambatan yaitu perubahan kecepatan tiap waktu. Untuk hasil perhitungan dari perlambatan yaitu NEGATIF. Negatif artinya gerakan benda semakin MELAMBAT.
Contoh perlambatan dalam kehidupan sehari-hari yaitu :
a. Gerak benda yang dilempar ke atas maka gerakannya akan semakin melambat.
b. Gerakan orang mengayuh sepeda pada jalan menanjak akan semakin pelan.
c. Gerak bola atau benda yang di lempar ke rumput maka gerakannya akan semakin pelan.
d. Mengendarai sepeda motor kalau ada lampu kemudian lintas maka akan semakin pelan dan berhenti kalau lampunya merah.

Contoh soal percepatan dan perlambatan :
1. Sebuah sepeda motor mula-mula bergerak dari kecepatan 2 m/s menjadi 6 m/s selama 10 detik. Berapakah percepatan sepeda motor tersebut?
Jawab:
Diketahui : v0 = 2 m/s
vt = 6 m/s
t = 10 sekon
ditanya : a = …?
Jawab :

Sebelumnya Pak Mono sudah menjelaskan pengertian kecepatan Rumus percepatan dan perlambatan beserta pola soalnya





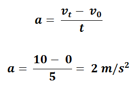
2. Sebuah bus yang awalnya membisu kemudian bergerak 36 km/jam selama 5 sekon. Berapakah percepatan bus?
Jawab:
Diketahui : v0 = 0 m/s => mengapa bernilai nol? Karena benda yang membisu itu nilai kecepatannya nol.
vt = 36 km/jam = 10 m/s
t = 5 sekon
ditanya : a = …?
Jawab :
Sebelumnya Pak Mono sudah menjelaskan pengertian kecepatan Rumus percepatan dan perlambatan beserta pola soalnya
 3. Mobil awalnya bergerak dengan kecepatan 10 m/s kemudian di depannya ada kambing lewat dan kesannya bergerak dengan kecepatan 2 m/s dalam waktu 4 detik. Berapakah perlambatan kendaraan beroda empat itu?
Jawab:
Diketahui : v0 = 10 m/s
vt = 2 m/s
t = 4 sekon
ditanya : a = …?
Jawab :
 Nilai di atas percepatannya negatif. Artinya benda itu mengalami perlambatan. Kaprikornus nilai minus (-) artinya perlambatan.

4. Aliando mengendarai sepeda motor dengan kecepatan 72 km/jam kemudian di depannya ada lampu kemudian lintas dan berhenti dalam waktu 10 sekon. Berapakah perlambatan yang dialami motor Aliando?
Jawab:
Diketahui : v0 = 72 km/jam = 20 m/s
vt = 0 m/s ; mengapa nilainya nol? Karena benda itu berhenti artinya diam. Kalau benda membisu mempunyai kecepatannya nol (0).
t = 10 sekon
ditanya : a = …?
Jawab :
 Nilai di atas percepatannya negatif. Artinya benda itu mengalami perlambatan. Kaprikornus nilai minus (-) artinya perlambatan.